訊技科技首頁 最新公告: 繁體中文|English|全站搜索
欄目列表
FRED
virtualLab
Macleod
OptiWave
GLAD
OCAD
Litestar 4D
EastWave
JCMSuite
LASCAD
其他
PanDao
實驗教具
最新發佈

OptiSystem 23.0新版本發佈

OptiFDTD應用:菲涅爾透鏡

OptiSystem應用:LOS室內無

OptiSystem應用:相位敏感

OptiSystem應用:BB84協議模

OptiSystem應用:通過機器

OptiSystem應用:雨天條件

OptiSystem 軟體中的 VCSE

OptiSystem 22.1新版本發佈

邀請您參加OptiSystem研討

OptiFDTD應用:菲涅爾透鏡
時間:2025-11-24 15:54來源:未知作者: infotek點擊:列印
1、超透鏡-菲涅爾透鏡


       超構透鏡是超構表面的直接應用,是光子學領域的一項重大進展。傳統透鏡依靠曲率聚焦光線,而超構透鏡由亞波長單元陣列構成,在實現相同光學性能的同時,保持了纖薄輕便的特性。這些高折射率對比度的亞波長單元能對光源產生累積偏折效應。

       本案例採用傳統菲湼爾透鏡設計,以驗證超透鏡的有效性。



2、理論


       超透鏡的設計思路通常是:先確定實現目標透鏡功能所需的相位調製,再將作用域劃分為亞波長單元。隨後通過設計,使每個單元提供正確的等效折射率或相位調製。

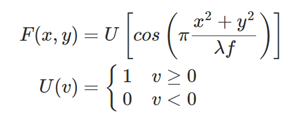
       傳統菲湼爾透鏡如圖 1 所示,由高透過率區域(白色)和低透過率區域(黑色)的同心環帶組成 [2]。環帶通過以下公式確定:



       其中U是單位階躍函數,f是給定波長λ的期望焦距。



圖1 波長λ=0.6 μm,焦距f=8 μm的菲湼爾波帶片。
 


OptiFDTD應用:菲涅爾透鏡


       超透鏡的設計的實現方式為:在介質(矽)平板的目標高透過率區域引入亞波長空氣孔陣列。這一設計可降低該區域的等效折射率,提升透射效率。
 
 
 
3、設計


       本演示將探究三種模擬設計方案:介質平板、厚菲湼爾透鏡、菲湼爾超構透鏡。自由空間和厚菲湼爾透鏡示例將為超構透鏡設計提供參考和背景依據。

       所有模擬將保持相同的通用晶圓、光源和離散化參數,具體如下文所述。每種透鏡示例的詳細資訊將在對應章節中說明。



3.1通用模擬參數

       表1:晶圓規格和邊界條件
 

 
       輸入平面採用矩形分佈作為光源。
       表 2:模擬中使用的光源參數
 

 
       為確保三種模擬結果的一致性,所有設計的離散化網格均基於約束條件最嚴格的模擬(超透鏡)確定。


       表 3:網格離散化參數(未指定的參數均設為自動)

 

3.2介質平板


       第一種設計為介質(矽)平板。該示例將展示無場聚焦的情況,並作為兩種透鏡設計的參考基準。該平板也是後續兩種設計的基礎,後兩種設計均通過在平板上蝕刻製成。


       表 4:介質平板設置



3.3厚菲涅爾透鏡


       第一種透鏡示例為厚菲湼爾透鏡,其厚度與介質平板一致(1.05μm)。每個環的起始半徑通過公式解析計算得出,如表 5 所示。利用這些半徑製作一系列尺寸逐漸減小的光纖波導,材料在矽和空氣之間交替分配,中心區域為空氣。光纖波導通過 OptiFDTD 中的 VBScripting 腳本製作。
 



圖2  OptiFDTD中的菲涅爾透鏡設計

 
       表 5:菲湼爾透鏡同心光纖的半徑。注意,光纖半徑越小,在專案流覽器中的層級越高,以確保該光纖的折射率優先順序高於之前的光纖。



3.4等效折射率菲湼爾透鏡


       超透鏡通過在模擬域上構建正方形晶格實現。利用公式判斷每個晶格節點所在區域為高透過率區還是低透過率區:若為高透過率區,則製作空氣孔(採用空氣材質的光纖波導);若為低透過率區,則不製作空氣孔。
 


圖3  OptiFDTD中的超透鏡設計
 

 
       晶格和空氣孔單元的特性如下表所示:
       表 6:空氣孔的通用特性

 

4、結果


       作為基準的介質平板,未表現出任何場聚焦現象,且平板內出現了預期的法布裡 - 珀羅共振。



圖4 介質平板在YZ平面的 Ey 場


 
       採用菲湼爾透鏡設計後,光線實現了場聚焦(如圖 5 所示)。沿 z 軸切片(如圖 6 所示)顯示,焦點峰值位於 8.2319μm 處。


圖5 菲涅爾透鏡在YZ平面的 Ey 場

 

圖6 菲涅爾透鏡在YZ平面的 Ey 場沿Z軸切片


 
       將透鏡設計改為超透鏡後,得到了相似的結果。其焦點峰值位於 8.0475μm 處,但光斑尺寸更大。兩種設計結果的差異源於超構透鏡中高透過率區的折射率對比度不同且透射率較低。



圖7 超透鏡在YZ平面的 Ey 場
 

圖8 超透鏡在YZ平面的 Ey 場沿Z軸切片
 
 


關於我們
公司介绍
專家團隊
人才招聘
訊技風采
員工專區
服務項目
產品銷售
課程中心
專業書籍
項目開發
技術諮詢
聯繫方式
地址:新北市永和區中正路746號9樓之5
電話:+886-2-3233-2748    傳真:+886-2-3322-9865
課程:course@infotek.com.tw
業務:sales@infotek.com.tw
技術:support@infotek.com.tw
官方微信
掃一掃,關注訊技光電的微信訂閱號!
Copyright © 2014-2025 訊技科技股份有限公司, All Rights Reserved.